什么是光源的亮度?光源在某一方向上的单位投影面在单位立体角中发射的光通量,称为光源在某一方向的光亮度,以符号L表示,单位为坎德拉每平方米(cd/m2)。那么,光源的亮度怎么测量?光源的亮度和照度有什么区别?本文为大家做了介绍,对光源知识感兴趣的朋友不妨了解一下!

亮度是指发光体(不只是电源,其他受照物体对人眼来说也可看作间接发光体)在人眼视线方向单位投影面积上的发光强度(是发光体在某方向发出的光通量密度,它表明了光通量在空间的分布状况),称为该发光体的表面亮度,以符号L表示,单位为坎德拉每平方米(cd/m2)。该发光体表面法线方向的发光强度为I,而人眼视线与发光体表面法线相交的角度θ,因此视线方向的发光强度 Ig=Icosθ。而视线方向发光体的投影面 Aθ=Acosθ,其中A为发光体的面积,因此可得出发光体在视线方向的亮度为:

式中Lθ——发光体沿θ方向的表面亮度(cd/m2);
Iθ——发光体沿θ方向的发光强度(cd);
Acosθ-—发光体在视线方向的投影面(m2)。
这就说明了发光体的亮度值实际上与人眼的视线方向无关。亮度的概念对于一次光源和被照物体是同等适用的,亮度是一个客观量,但它直接影响人眼的主观感觉。晴天天空的亮度为(0.5~2)×104cd/m2;白炽灯灯丝的亮度约为(300~1400)×104cd/m2;荧光灯管的表面亮度为(0.6~0.9)×104cd/m2。
一般光源的光亮度不仅与测量方法有关,而且与表面的位置有关。为了测量方便,常在发光面前加一光阑,以测定光阑所限制部分的发光面在水平方向的光亮度。如需要测定发光面其他部分的光亮度,可以改变光阑和探测器的位置。
1.直接测量光照度来确定光源的亮度

如上图所示,光源面积为B,光阑离光源ab很近时,则光源ab向探测器S发出的光通量大约等于在光阑处面积为B的光源向S发出的光通量。如光阑孔的尺寸比距离r小很多,则s上的照度为:E=LB/r2。
测出光照度E和距离r,光亮度L即可确定为:L=Er2/B。

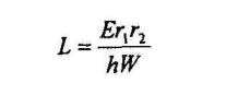
当光源为带状或线状时(如钨带灯或直线钨丝灯),光阑的主要作用是限制发光体的高度,这时光源的亮度由上图可得:

式中,r1、r2分别为探测器S与光阑D以及探测器S与光源ab间的距离;h为光阑的高度;W为发光面的宽度。
2.由光源成像的光照度来确定光源亮度
这种方法可以用于测量不可接近的发光体(如高温发光体)和光照度很低的情况。

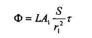
如上图所示,若发光面积A1经过透镜D成像为面积A2。发光面及其像与透镜D的距离分别为r1和r2,S为透镜D的面积,τ为透镜的透射比。如果r1和r2比A1和A2的尺寸大很多,则发光面向透镜D发射并透过D的光通量为:

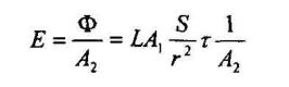
像的照度为:

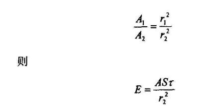
由透镜的成像关系得:

所以亮度为:

通俗地说,亮度是物体表面明亮的程度。对于发光体,亮度表明了它表面发光的本领,主要与它的发光特性有关;对于本身不发光的物体,它的亮度不仅与照亮它的光源的特性有关,还与物体自身的表面特性有关。例如在同样的光线下,反射率小的黑丝绒亮度低,反射率高的白纸亮度高。照度表明物体表面被光源照明的程度,即单位时间内投射到物体单位表面上光能量的多少。因此亮度与照度的第一个重要区别是:亮度与物体自身的表面特性有关。照度仅由光源的特性(强弱、远近、投射角)确定,与被照明物体的表面特性无关。
亮度与照度的第二个区别是方向性。亮度是有方向的量,谈论某点的亮度还必须同时指明测试或观察的方向。例如点亮的手电筒从正面看比斜看亮得多,劣质的黑板在教室的某些位置会产生强烈的反光。照度是无方向的量,物体上某处的照度是周围环境投射到该处所有光线之和,无论光线从何方射来,只要投射到物体上的光能量相同,对照度的影响都相同。