色差是纺织行业常见的一种质量瑕疵,对纺织色差进行量化分析,不仅可以为纺织品生产工艺的调整提供数字化的依据,还可以为提升纺织品的品质。想要对纺织品的色差进行量化,就需要使用到色差公式。本文对纺织色差计算常用色差公式CIELab和CMC(l:c)做了介绍。

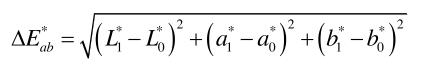
CIELAB色差公式是1976年由国际照明委员会(CIE)推荐,该色差公式基于CIE 1976-L*a*b*颜色空间建立,它是纺织品行业计算色差的常用公式之一。CIELAB色差公式是基于近似均匀的三维颜色空间建立的,由直角坐标L、a*、b*构成,国际照明委员会推荐使用。该色差公式建立在CIELAB颜色空间之上,使用空间中的欧氏距离来表示两个颜色之间的差异大小,假设该空间中有两个颜色(L*0,a*0,b*0)和(L*1,a*1,b*1),则两个颜色之间的色差为:

色差也可以用明度差△L*、饱和度差△C*ab和色调差△H*ab来定义:

虽然CIELAB颜色空间预测结果与人眼观察得到的结果并非完全一致,但是与其他色差公式相比,CIELAB色差公式结构简单、易于理解并且在大色差上具备较好的预测精度,因此得到了广泛的应用,在实际应用中具有很大的价值。
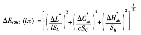
CMC(l:c)是基于CIELab发展而来的,并且在一定的运用范围内对小色差都能做出很好的评价。CMC色差公式使各色调方向的色差椭圆大小可根据视觉的关系进行改变。其计算公式如下:

公式中的△L*、△C*、△H*是由CIELAB色差公式计算得到标样与样品之间的亮度差、饱和度差、色相差。色差公式中的l、c为调节明度和饱和度相对宽容量的两个系数。对于一般色差可观察性样品评价时,取l=c=1,而对于色差可接受性样品评价时,则取l=2,c=1。
由于该公式比CIELab公式具有更好的目视一致性,因此对不同颜色产品的质量控制,都可使用“单一界限值”,即该界限值与标样的颜色无关。这给用户采用颜色测量和仪器评价技术带来极大方便,因此该公式自推出后得到了广泛的应用。一些国家和组织纷纷采用以代替现行的CIELAB色差公式,如该公式在1988年被采用作为英国标准,最后于1995年成为国际标准。