CIELab颜色空间是一个均匀的颜色空间,该颜色空间不尽可以用L、a、b值对颜色进行描述,还可以用其极坐标颜色空间的L、c、h值对颜色进行描述,因此就会存在不同的色差公式。本文对CIELab均匀颜色空间的色差公式的形式做了简要介绍。

CIELab颜色空间是CIE1976L*a*b*颜色空间的简称,在该颜色空间中,颜色的明度感觉用坐标轴L*表示,黑位于最下端对应明度L*=0;白色最亮位于最上端,对应明度L*=100。a*轴与b*轴共同表示彩色的特性:a*轴正方向代表红色(偏品红)的变化,a*轴负方向代表绿色的变化;b*轴正方向代表黄色变化,b*轴负方向代表蓝色变化。a*与b*的值表示颜色感觉中的彩色成分,当a*与b*的值都为0时,颜色的饱和度为0,即非彩色,其坐标点落到坐标轴L*上。所以,所有的非彩色都位于坐标轴L*上,从下到上依次为黑、深灰、灰、浅灰和白。颜色的坐标点距坐标轴L*越远,则颜色就越鲜艳。根据这一性质可以用a*与b*的值进一步计算色调和饱和度,并使其与颜色的感觉更加接近。
CIELAB均匀颜色空间是由L*、a*、b*的构成的三维直角坐标系,任一个颜色在CIELAB均匀颜色空间中都是一点,颜色的明度值等于该点的L*轴的坐标值,a*与b*坐标值为该点在a*与b*坐标轴上的投影。根据相应的几何关系,任一颜色的色调H*可以用该点在a*-b*平面的投影到坐标原点连线与a*坐标轴的转角h*ab表示;彩度(或饱和度)C*ab可以用该点到纵坐标原点的距离来表示。
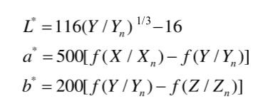
CIELab公式以两种坐标形式给出,即直角坐标形式和柱坐标形式,分别如下:
1.直角坐标表示形式

这里,X、Y和Z是色样的三刺激值,而Xn、Yn和Zn是照明光源的三刺激值。
总的色差的计算公式为:

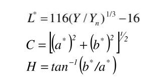
2.柱坐标表示形式

其中C*定义为米制彩度,h定义为米制色调角(0度~360度)。
柱坐标形式的色差为:
