CIELab色差公式是色差仪中最常见的一个色差公式,该色差公式是基于CIELab颜色空间的色差公式。对于CIELab色差公式进行了解,有助于更好的使用该色差公式进行色差计算。本文对色差仪CIELab色差公式形式及CIELab色差公式缺陷做了简要介绍。

CIE L*a*b*(CIELAB)色度空间是1976国际照明委员会推荐的均匀颜色空间,1987年我国发布的GB7921-87将LAB空间作为国家标准。它是CIE为了表示颜色差别(色差)而建立的一个均匀颜色空间。由于该空间中两点间的距离代表两种颜色的色差,因此比 CIE XYZ颜色模型在颜色空间上更具均匀性。更能反应人的视觉心理。
CIE1976L*a*b*空间可由CIEXYZ转换得到,它是把颜色用所含红、绿、黄、蓝的程度来度量的。视网膜锥体细胞有三种不同响应的视觉神经,分别对红绿、蓝黄、黑白起作用,颜色感觉是由各个视觉神经的破坏和会恢复而产生。每发生一次恢复和破坏,就发生一次脉冲信号给大脑,于是得到一种色感。根据这一色觉说,将红度(正向)和绿度(负向)同置于一根横轴(a轴)上,而将黄度(正向)和蓝度(负向)同置于纵轴(b*轴)上,垂直与a*b*平面的第三根轴为明度L*,这就是L*a*b*表色空间。
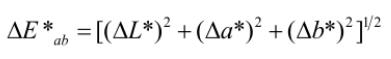
在CIELab颜色空间中,L*为米制明度;a*、b*为米制色品。这样(L1*,a1*,b1*)和(L2*,a2*,b2*)两个颜色的明度差为:△L*=L1*-L2*,色度差为:△a*=a1*-a2*、△b*=b1*-b2*。总体色差可用空间的几何距离表示,如下所示:

当△L*>0时,说明样品色比标准色浅,明度高,反之则低。当0a*>0时,说明样品比标准色偏红,反之则偏绿。当△b*>0时,说明样品比标准色偏黄,反之则偏蓝。
色差△E的单位时NBS(美国国家标准局的所写,即△E=1时称为1个NBS色差单位),NBS单位的感觉值如下表所示:

CIELab色差公式的缺陷主要是因为它所基于的CIE1976LAB颜色空间具有一定的不均匀性。Luo和Rigg收集了大多数的表面色的实验数据,并用这些数据集中绘出了120多个辨别椭圆,这是第一次在CIEa*b*色度图中进行研究。下图是在CIELABa*b*图中画的这些椭圆。

上图清楚地说明了CELAB是个均匀性很差的颜色空间,至少和小色差有关。如果CILAB空间是个完美理想的均匀颜色空间,所有的椭圆都是同尺寸的圆圈。可以发现上图的一些趋势:接近中性色的椭圆最小;随着饱和度的增加椭圆变大变长;除了蓝色区域外,大多数椭圆都指向原点(非彩色点)。