CIELab颜色空间是测色仪等仪器中常用的测色空间,该颜色空间实在CIEXYZ颜色空间的基础上线性转化得到的一个均匀颜色空间,用L、a、b三个维度对颜色进行描述。那么,CIELab颜色空间色度值与CIEXYZ色度值怎么转换?本文为对CIELab颜色空间与CIEXYZ颜色空间转换关系做了介绍,对此感兴趣的朋友不妨了解一下!

CIELab颜色空间全称CIE1976Lab颜色空间,是由国际照明学术研究机构CIE研制的一种色彩结构,其色域大于RGB色彩空间的色域,实现的颜色范围较广,即可以在颜色空间中表达任何一种颜色信息。参数L、a、b在CIELAB色彩空间中分别表示颜色亮度、红绿色的程度和黄青色的程度。参数L的值与颜色亮度成正比例关系,取值范围0~100,L的值越大,表达的颜色越亮;a和b代表色度轴,范围是-128-127,当参数值a>0时,值越大表示的颜色就越红属于红色系,参数值a<0时,值越小表示的颜色就越绿属于绿色系;当参数值b>0时,值越大表示的颜色越黄属于黄色系,当参数值b<0时,值越小表示的颜色越青属于青色系。CIELAB色彩空间所表示的颜色与人眼视觉特性相接近,可以通过设置不同的a和b值得到精确的颜色平衡,设置不同的L值来调整亮度对比度。
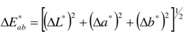
在CIELab色彩空间中,可以通过计算色彩空间中两点颜色之间的几何距离,来分析判断颜色的差异度,比较方便地测量较小的色差。其色差表达式为:

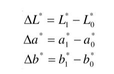
式中,△E*ab是两个颜色的色差;△L*,△a*,△b*是两个颜色相应量的差,由下式计算:

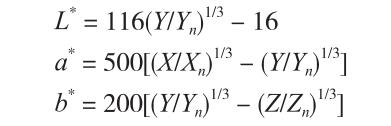
CIELab颜色空间可由CIEXYZ转换得到,它是把颜色用所含红、绿、黄、蓝的程度来度量的。视网膜锥体细胞有三种不同响应的视觉神经,分别对红绿、蓝黄、黑白起作用,颜色感觉是由各个视觉神经的破坏和会恢复而产生。每发生一次恢复和破坏,就发生一次脉冲信号给大脑,于是得到一种色感。根据这一色觉说,将红度(正向)和绿度(负向)同置于一根横轴(a轴)上,而将黄度(正向)和蓝度(负向)同置于纵轴(b*轴)上,垂直与a*b*平面的第三根轴为明度L*,这就是CIELab表色空间。其转换关系如下:

在上式中,Xn、Yn、Zn代表的是标准照明体的光辐射到物体上产生完全反射现象时在观察者眼中生成的刺激值信号,且Yn=100,X、Y和Z表示颜色的三刺激值。
CIELab颜色空间与Hunter Lab颜色空间都是由CIEXYZ转换而来。CIELab(CIEL*a*b*)是惯常用来描述人眼可见的所有颜色的最完备的色彩模型。L、a和b后面的星号(*)是全名的一部分,因为它们表示L*、a*和b*。Lab指的是Hunter Lab,它是建立在颜色对立理论基础上的三维直角坐标系,是不带星号的,不同于L*、a*和b*。这两种表色系统都是建立在颜色对立理论基础上的,应用都比较广泛,区分这2种表色系统还是很有必要的。
另外,CIELab颜色空间与Hunter Lab颜色空间的计算公式不同,虽然都是由X、Y、Z经数学计算而来,但是色度量的取值不同。Hunter Lab均匀颜色空间是基于特定的数学转换和经验公式建立的,相对简单直观。该颜色空间计算相对简便,对一些特定的应用场景,如在一些对计算速度要求较高或对颜色精度要求不是极高的工业生产中,具有一定的实用性。但与CIELab相比,其均匀性较差,颜色空间中的距离与视觉感知的色差一致性不如CIELab颜色空间。常用于一些对颜色测量精度要求不是特别高的行业,例如在食品行业中,可用于快速评估食品的颜色特征,判断食品的新鲜度或品质。