对纺织进行色差管控,是纺织行业管控产品质量的一个重要手段,而想要对纺织色差进行精确的量化分析,就需要用到相应的色差公式。本文对纺织行业及纺织色差仪常用的三个色差公式做了介绍,对纺织色差量化分析感兴趣的朋友不妨了解一下!

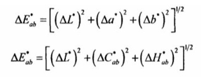
CIELab色差公式是基于CIELab颜色空间,CIELab颜色空间是一个近乎均匀的三维色空间,这也就意味着即便两对样品所测出的色差值相等,但从视觉效果看并不一定一致。该颜色空间中a轴和b轴组成颜色的彩度,L轴表示颜色的明度。当△L大于0时,表示试样比标样浅,反之表示比标样深;当△a大于0时,表示试样比标样偏红,反之表示比标样偏绿;当△b大于0时,表示试样比标样偏黄,反之表示比标样偏蓝。C*表示饱和度,h*表示色相角。其表达式为:

目前,CIELAB色差公式广泛应用于工业界,尤其是涂料、油墨、纺织印染等行业,这是因为该公式可将总色差分为色调差、饱和度差和明度差,实际应用中可根据这些差值对配方进行调整。
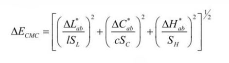
CMC(l:C)色差公式是在CIELab色差公式的基础上发展起来的一个色差公式,该色差公式通过引入明度加权值l和彩度加权值c,并给予△L、△C和△H不同的修正参数来改善CIELab色差公式,使得色差均匀度得到很大改善。具体色差公式如下所示:

式中,△L*、△C*和△H*分别表示明度差、饱和度差和色相差,计算方法同CIELAB色差公式一致;SL、SC和SH分别表示相应的修正系数;l和c分别表示明度权重和彩度权重。
使用此色差公式时,可根据具体情况来调整l值和c值。通过的大量试验证明,在纺织业一般采用CMC(2:1)公式,在塑料、涂料等行业一般采用CMC(1:1)公式。
CIEDE2000色差公式是色度学于2001年推出的一个色差公式,该色差公式校正了色相权重系数、明度权重系数和彩度权重系数,调整了彩度差和色相差的交互、CIELab的a*因子,具体的计算方法如下:

式中:KL、KC、KH是三个常量参数,根据测试对象的不同或者色彩品质控制的要求来定义,在纺织行业中,KL一般取2,KC和KH一般取1;SL、SC、SH分别表示明度、彩度和色相的权重系数,用来校正颜色空间的均匀性;RT表示旋转函数,用来校正颜色空间中蓝色区域容差椭圆主轴方向的偏转。
CIEDE2000只是重新定义了色差的计算方法,并不是建立了一个新的均匀色空间。对于一般的工业色差评估,可以直接用该公式进行计算,计算结果即可表示被知觉的色差。